澳门六合彩

晋江、洛阳江上游水资源保护补偿专项资金管理规定(2019年修订)
时间:2019-08-16 09:59 来源:澳门六合彩 人民政府门户网站 阅读人数:

  为巩固和完善晋江、洛阳江(简称“两江”)上游水资源保护补偿机制,加大两江上游水资源保护力度,提高财政资金使用效益,提升生态文明建设水平,根据《预算法》《澳门六合彩 人民政府关于印发澳门六合彩 市级财政专项资金管理规定的通知》(泉政文〔2017〕7号)等有关法规,借鉴《福建省人民政府关于印发〈福建省重点流域生态保护补偿办法(2017年修订)〉的通知》(闽政〔2017〕30号),对《澳门六合彩 人民政府关于印发晋江洛阳江上游水资源保护补偿专项资金管理规定的通知》(泉政文〔2017〕8号)进一步修订,制定本规定。

  一、本规定所称“两江上游”是指晋江金鸡水闸上游和洛阳江桥闸以上地区,范围包括两江上游流域内洛江区、南安市、安溪县、永春县和德化县等5个县(市、区)的有关乡镇;所称两江上游水资源保护补偿专项资金(以下简称“专项资金”)是指由澳门六合彩 人民政府统一筹集,两江下游受益各县(市、区)(含泉州开发区、泉州台商投资区,下同)分担筹措,专门用于两江上游水资源保护补偿的专项资金。   

  二、专项资金的筹集   

  (一)专项资金由两江下游受益各县(市、区)按《澳门六合彩 人民政府办公室关于调整澳门六合彩 晋江下游水量分配方案的通知》(泉政办〔2010〕153号)确定的用水量比例分担,每年筹集3亿元,其中,湄洲湾南岸远期供水部分所需资金由市本级财政承担。每年具体分担额是:市本级1392万元、鲤城区2037万元、丰泽区2037万元、洛江区453万元、泉港区1770万元、石狮市3240万元、晋江市11667万元、南安市2409万元、惠安县2499万元、泉州台商投资区2496万元。   

  (二)市本级及两江下游受益各县(市、区)将分担资金纳入年度财政预算,并于每年4月30日和6月30日前分两期(每期各占全年分担额的50%)及时足额汇入市财政局设立的专户。   

  三、专项资金管理遵循“统筹使用、突出重点、注重实效、确保安全”的原则。   

  四、专项资金的列支方向和管理主体   

  年度专项资金中的2亿元(以下简称“流域保护补偿资金”)用于两江上游地区流域水资源保护工作,由市澳门六合彩 、财政局负责管理;0.8亿元主要用于两江上游地区扶贫开发工作,0.15亿元用于两江上游地区水土流失治理工作,0.05亿元用于省属国有林场经营运转,分别由市农业农村局、林业局、水利局会同市财政局负责管理并另行制定资金管理规定。

  五、流域保护补偿资金的管理职责   

  (一)市财政局负责专项资金的归集,审核流域保护补偿资金分配方案;会同市澳门六合彩 下拨流域保护补偿资金,组织开展流域保护补偿资金绩效评价工作;监督流域保护补偿资金的支出活动,对违反财经纪律的行为作出处理。   

  (二)市澳门六合彩 负责指导协调两江上游水资源保护补偿工作,组织开展流域水质监测考核,核定流域水质和县(市、区)交界断面水质的考核指标,审核重点支持项目、多元化生态补偿项目,提出流域保护补偿资金分配方案;会同市财政局下拨流域保护补偿资金;负责加强对流域保护补偿资金使用的监督管理,制订流域保护补偿资金绩效目标,实施绩效监控和绩效自评,确保资金使用效益,督促指导有关县(市、区)加强绩效管理;负责流域保护补偿资金信息公开工作。   

  (三)市水利局负责核定两江上游县(市、区)上一年度水资源量、用水量、用水总量控制指标,并于每年4月底前将核定数据及依据报送市澳门六合彩 。   

  (四)两江上游各县(市、区)人民政府对本地区流域水环境保护和治理承担主体责任,负责制定流域保护补偿资金具体管理措施;以解决辖区水生态环境质量突出问题为导向,制定年度流域水环境综合整治计划和项目清单,提出并落实本辖区流域保护补偿资金安排使用方案;加强对流域保护补偿资金使用的信息公开、绩效管理等工作,确保实效。   

  (五)充分发挥河(湖)长制作用,各级河(湖)长要靠前指导流域保护补偿资金项目的策划生成、落地实施,督促流域保护补偿资金切实用于流域水环境保护工作。   

  六、流域保护补偿资金的分配   

  流域保护补偿资金的分配以两江上游县级以上河流水质达标情况为主要考核因素,重点用于治理水质尚未达标的流域、奖励水质稳定达标的流域。两江上游县级以上河流名单、水质考核断面及水质年度考核要求由市河长办和市澳门六合彩 另文公布。   

  (一)按因素切块分配

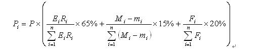
  流域保护补偿资金的50%按流域水量水质、用水总量控制以及生态保护因子等3项因素占比切块分配给两江上游县(市、区),用数学公式表示为: 

  式中:Pi为i县(市、区)本年度按因素切块分配资金额;P为本年度按因素切块分配资金总额;Ei为i县(市、区)上年度流域水量;Ri为i县(市、区)上年度水质考核得分;Mi为i县(市、区)上年度用水总量控制目标;mi为i县(市、区)上年度实际用水总量;Fi为i县(市、区)的生态保护因子(生态保护红线面积占国土面积比例);n为上游县(市、区)的个数。   

  (二)按流域水质达标情况奖补   

  1.两江上游县级以上河流水质达到当年度考核要求的,每个考核断面按河流(段)长度(L)分为L≤10公里、10公里<L≤30公里、30公里<L≤50公里、50公里<L≤100公里、L≥100公里五个档次,分别给予50万元、100万元、200万元、300万元、400万元奖励。   

  2.当年度年均水质未达考核目标的河流(段),不予安排当年度奖励资金,已预拨的资金予以收回。   

  3.两江流域上游申报小流域“以奖促治”资金的项目,按《澳门六合彩 小流域“以奖促治”专项资金管理暂行规定》(泉财建〔2018〕369号)的标准执行。   

  (三)鼓励支持多元化生态补偿   

  本市县(市、区)政府之间采取资金补助、对口协作、产业转移、人才培训、共建园区等方式,实施多元化生态补偿,且投资总额达到1000万元及以上的项目,根据项目投资总额、生态环境效益等情况,分别给予受益和补偿县(市、区)适当奖励。   

  (四)支持重点项目   

  市级及以上政府(部门)下达的、各级环保督察查出需整改的以及跨区域的重点水污染防治项目按市政府要求给予补助。   

  七、流域保护补偿资金的使用范围   

  按因素切块分配和按流域水质达标情况奖补的资金由两江上游县(市、区)自行管理使用,用于辖区内的流域水环境保护工作,主要包括以下方面:   

  (一)饮用水源保护项目。   

  (二)农村面源污染防治项目,包括小流域及农村水环境整治(含保洁队、打捞队设备购置)、农村污水垃圾收集处理设施建设及运营维护、畜禽养殖业污染整治和养殖废弃物资源化利用、流域周边村庄生活垃圾常态化治理。   

  (三)点源污染治理项目,包括企业环保搬迁改造、危险废物污染防治、工业园区污水处理设施建设、简易垃圾填埋场治理。   

  (四)城镇污水垃圾处理及配套设施建设和运营维护项目,包括城镇污水处理设施及配套管网建设和运营维护、城镇生活垃圾无害化处理及配套转运设施建设和运营维护。   

  (五)生态修复工程项目,包括万里安全生态水系建设、重点区域生态恢复工程、造林防护、自然保护区的建设与运维、流域环境监管能力建设。   

  (六)县域(际)建立实施的生态补偿项目。   

  (七)市级及以上政府(部门)下达的、各级环保督察查出需整改的以及跨区域的水污染防治项目。   

  其中,用于(一)~(四)项水源地保护与水环境治理的资金安排不得低于本地本年度获得的按因素切块分配和按流域水质达标情况奖补资金的70%。   

  八、流域保护补偿资金的安排与下达   

  (一)市澳门六合彩 根据年度流域水环境指标考核和专项资金筹集到位情况,提出流域保护补偿资金安排方案。   

  (二)市财政局审核流域保护补偿资金安排方案,并会同市澳门六合彩 ,于每年7月底前分批将流域保护补偿资金预算下达给有关县(市、区)。   

  (三)县(市、区)在收到流域保护补偿资金预算后,应在1个月内将资金拨付给具体项目单位,并将资金拨付文件抄送市财政局、澳门六合彩 。   

  九、流域保护补偿资金的使用管理   

  (一)流域保护补偿资金专款专用,不得随意改变用途用于工资福利、日常工作经费等各种与流域水环境保护工作无关的支出和抵顶应由本级政府分担筹措的资金。   

  (二)任何部门(单位)不得截留、挤占和挪用流域保护补偿资金。   

  (三)流域保护补偿资金结转结余按照财政资金结转结余有关规定处理,并滚动用于流域水环境保护工作。   

  十、流域保护补偿资金的绩效管理   

  流域保护补偿资金实行绩效管理,参照市财政局明确的年度市级财政资金绩效评价的要求组织实施。   

  (一)市澳门六合彩 应在年初科学制订流域保护补偿资金绩效目标,并报市财政局审核批复;预算执行中,应加强绩效监控,指导县(市、区)开展绩效评价工作,汇总绩效评价情况,及时向市财政局报送绩效监控和自评材料;当项目实施效果偏离绩效目标时应及时纠正,确保绩效目标实现。   

  (二)县(市、区)对流域保护补偿资金的绩效评价工作负首要责任,应加强流域保护补偿资金绩效管理,严格落实绩效监控,及时发现并纠正偏离绩效目标的行为;当项目实施效果严重偏离绩效目标时,应及时报告市澳门六合彩 ;每年年底前将流域保护补偿资金绩效自评情况(包括自评报告、自评表和相关的佐证材料)报送市澳门六合彩 。   

  (三)市澳门六合彩 、财政局根据工作需要,选择部分项目进行重点评价。   

  (四)绩效评价结果作为对县(市、区)奖惩的主要依据。   

  十一、流域保护补偿资金的监督检查   

  (一)按照“谁主管,谁负责”的要求,县(市、区)应加强流域保护补偿资金执行和项目实施的监督管理,及时归集、整理项目资金拨付、使用等内业资料,建立完备的项目档案和资金管理台账;及时将流域保护补偿资金安排使用等具体情况在政府门户网站或其他主流媒体上公开,接受社会监督。   

  (二)市澳门六合彩 、财政局视情采取定期检查、不定期抽查或委托第三方评审机构审查等方式,对流域保护补偿资金的使用和项目实施成效进行核查。   

  十二、相关责任   

  (一)未经批准擅自调整流域保护补偿资金使用范畴或金额的,由市财政局依法责令改正,追回违规使用资金。   

  (二)违反财政国库管理规定,截留、挪用流域保护补偿资金或无故拖延流域保护补偿资金拨付的,由市财政局依法责令改正,对单位给予警告或通报批评。   

  (三)非不可抗力因素导致项目未如期实施且情况严重的,由市澳门六合彩 依法责令限期整改;拒不改正的,限期退还相应款项。   

  (四)在参与流域保护项目评审、资金绩效评价等有关工作中未能独立客观地发表意见,存在弄虚作假行为的专家或第三方评审机构,除按照有关法规进行处罚外,3年内禁止参与财政资金的申报、评审、绩效评价等工作。   

  (五)其他在资金管理中出现的违法违纪行为,按《预算法》《财政违法行为处罚处分条例》等国家法规追究责任。   

  十三、本规定由市财政局会同市澳门六合彩 负责解释。   

  十四、本规定自公布之日起施行。   

扫一扫在手机上查看当前页面